Azərbaycan hakimiyyəti terroristlərə silah daşıyır? (ARAŞDIRMA)

Terroristlərə silah daşıyan 350 diplomatik reys

Source:



Azərbaycanın “SilkWay” Hava Yolları diplomatik rəsmiləşdirmə yolu ilə Suriya, İraq, Əfqanıstan, Pakistan və Konqoya silah daşıyır

2016-cı ilin dekabrında jurnalist Dilyana Qaytanciyeva Hələbdə mənşəyi Bolqarıstan olan ağır silah-sursatla dolu 9 yeraltı anbar taparaq, lentə alıb.

Son üç ildə azı 350 “Silkway” Hava Yolları (Azərbaycan Şirkəti) reysi dünyanın müxtəlif münaqişə zonalarına silah daşıyıb.

Azərbaycan şirkəti 10-larla ton ağırlığında silah-sursatı diplomatik reys adı ilə terroristlərə çatdırıb.

“Silkway” şirkətinin silah daşıyıcılığını həyata keçirdiyini özündə əks etdirən sənədlər jurnalistə “Anonim Bulgariya” (Anonymous Bulgaria @anon_bg) twitter hesabı vasitəsilə göndərilib.

Sızan fayllar arasında bir sıra Avropa ölkələri, Birləşmiş Ərəb Əmirlikləri, Səudiyyə Ərəbistanı, Türkiyə, Bolqarıstan Xarici İşlər Nazirliyi və Azərbaycanın Bolqarıstandakı Səfirliyi arasında silah daşınması və diplomatik toxunulmazlıqdan istifadə, Bolqarıstan üzərindən əlavə uçuş və yaxud bu ölkənin hava yollarından istifadə üçün yazılı anlaşmalar var.

Həmin sənədlərə əsasən, “Silkway” Hava Yolları özəl şirkətlərə, Amerikanın, Balkanların, İsrailin silah istehsalçılarına, həmçinin Səudiyyə Ərəbistanının, BƏƏ, ABŞ-ın Xüsüsi Əməliyyatlar Komandanlığı, Almaniya və Danimarkanın Əfqanıstandakı və İsveçin İraqdakı hərbi qüvvələrinə diplomatik reyslər təklif edib.

Diplomatik uçuşlar qəbzlərdən, hava fakturaları və vergilərindən azaddır, bu isə o deməkdir ki, “Silkway” Hava Yolları rahatlıqla yüz tonlarla silahı qanunsuz şəkildə dünyanın müxtəlif yerlərinə daşıyıb.

Onlar bir neçə saatdan bir günədək aralıq yerlərdə yanacaq doldurmaq adı altında məntiqsiz səbəblər gətirərək, texniki enişlər ediblər.

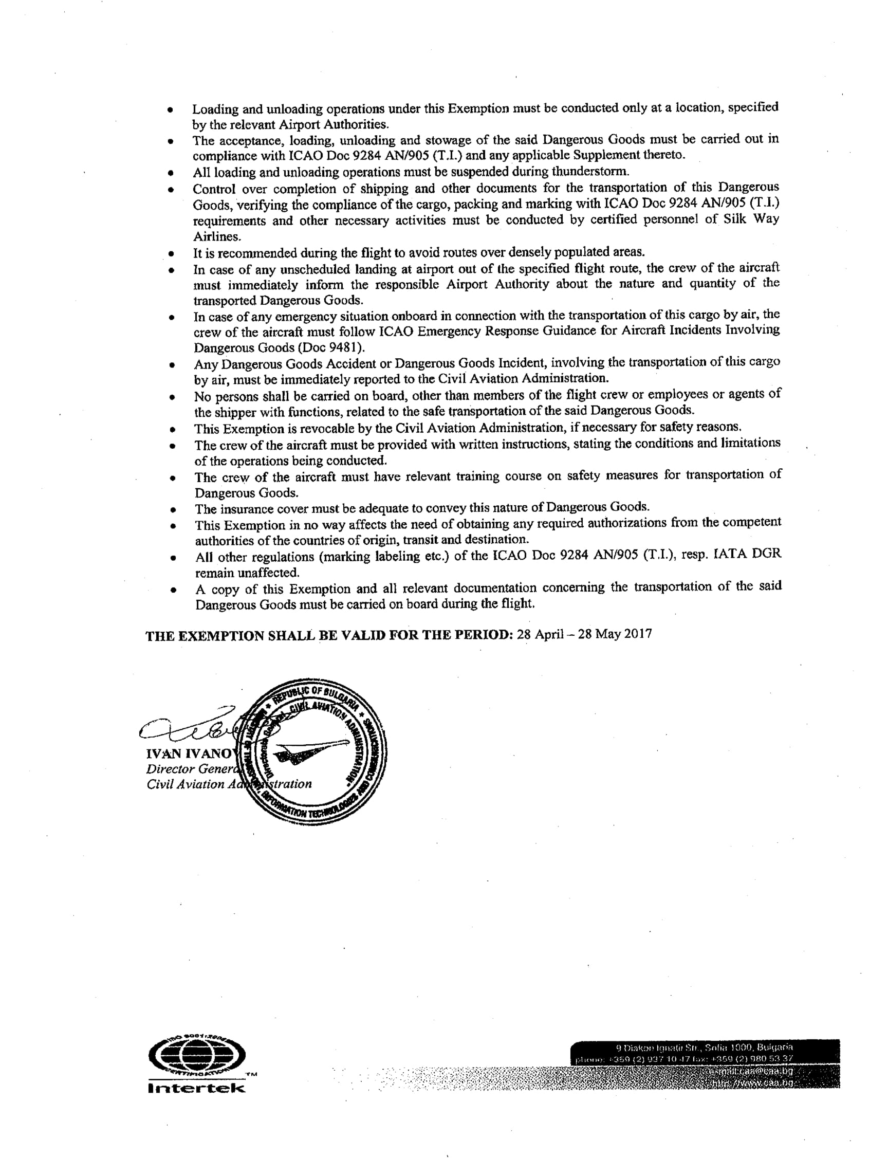
Beynəlxalq Nəqliyyat Assosiasiyasının (BNA) təhlükəli malların daşınması qaydalarına əsasən, operatorların təhlükəli malları mülki hava gəmiləri ilə daşıması qadağandır və onlar mütləq təhlükəli malları hava yolları ilə daşımaq üçün icazə almalıdırlar.

Sənədlərə əsasən, Azərbaycanın Xarici İşlər Nazirliyi Bolqarıstan və Avropanın bir çox ölkəsindəki səfirliklərinə təlimat göndərərək, “Silkway” Hava Yollarının təyyarələrinin reysləri üçün diplomatik rəsmiləşdirmə tələb etmələrini istəyib. Səfirliklər də eynilə fəaliyyətdə olduqları ölkələrin Xarici İşlər Nazirliklərinə nota göndərərək, onlardan təhlükəli malların sorğu-sualsız daşınması üçün gərəkli sənədləri almağa müvəffəq olublar.

Diplomatik rəsmiləşdirmə həmçinin özündə təhlükəli malların tipi və kəmiyyətini ehtiva edib – ağır texnika və silah-sursat.

İstənilən halda, bir çox ölkənin cavabdeh şəxsləri (Bolqarıstan, Serbiya, Rumınya, Çexiya, Macarıstan, Slovakiya, Polşa, Türkiyə, Almaniya, Birləşmiş Krallıq, Yunanıstan və s) “gözlərini yumaraq”, mülki təyyarələrin diplomatik reyslərilə tonlarla silahın hərbi ehtiyaclar üçün daşınmasına icazə veriblər.

Beynəlxalq Hava Nəqliyyatı Assosiasiyasının qaydalarına əsasən, hərbi yüklərin mülki aviasya ilə daşınması qadağandır. “Silkway” Hava Yolları da bundan yayınmaq məqsədilə yerli qurumlar vasitəsilə diplomatik uçuş icazəsi almaq üçün müraciətə əl atıb.


Birləşmiş Ştatlar 1 milyard dəyərində silah göndərib

“Silkway” Hava Yolları tərəfindən verilən “diplomatik uçuşlar”-ın əsas müştəriləri ABŞ ordusuna və ABŞ-ın Xüsusi Əməliyyatlar Komandanlığına silah tədarük edən Amerika şirkətləridir. Lakin daşınan silahlar ABŞ-a aid olmayan sursatdır və həmin silahlar ABŞ qüvvələri tərəfindən istifadə edilmir.

Federal müqavilələrin reyestrinə əsasən, son 3 ildə Amerika şirkətləri qeyri-ABŞ standart silah ehtiyatları üçün ABŞ hökumətinin xüsusi proqramı çərçivəsində ümumi 1 milyard dollarlıq müqavilələr bağlayıblar. Bütün bu hallarda “Silkway” Hava Yolları silahların nəqli üçün nəzərdə tutulub. Bəzi hallarda “Silkway” hava gəmisi gərgin cədvəllə uçuşları çatdırmadıqda, Azərbaycan Hava Qüvvələrinin təyyarələri hərbi yükləri daşıyıb, həmin silahlar Azərbaycana gətirilməyib.

Səfirlikdən sızan sənədlərdə silah qaçaqmalçılığının şokedici nümunələri var. Bir haşiyə: 12 may 2015-ci ildə Azərbaycan Hava Yollarının təyyarəsi 7.9 ton PG-7V və 10 ton PG-9V adlı hərbi yükü gərəkli ünvana Burgas (Bolgarıstan) – İncirlik (Turkey) – Burgas – Nasosnı (Azərbaycan) yolu ilə çatdırıb. Sənədlərə görə, hərbi yüklər İncirlik hərbi bazasında boşaldılıb və alıcıya çatmayıb. Silahlar Bolqarıstanın “Alguns” şirkəti tərəfindən Pörpl Şovelə (Purple Showel) satılıb və Bolqarıstanın VMZ hərbi zavodunda istehsal edilib.

Federal müqavilələrin reyestrinə əsasən, 2014-cü ilin dekabrında ABŞ Xüsusi Əməliyyatlar Komandanlığı Pörpl Şovellə $ 26,7 milyonluq müqavilə imzalayıb. Bolqarıstan silahların mənşə ölkəsi kimi qeyd olunur.

2015-ci il iyun ayının 6-da Bolqarıstanda Anevo kəndi yaxınlığında yerləşən hərbi ərazidə raket gülləsinin partlaması nəticəsində Pörpl Şovelin əməkdaşı, 41 yaşlı Amerika vətəndaşı Frensis Norvello ölüb.

Daha iki amerikalı və iki bolqar də yaralanıb. ABŞ-ın Bolqarıstandakı səfirliyi ABŞ hökumətinin podratçılarının Suriyadakı üsyançıları hazırlamaq və təchiz etmək üçün ABŞ-ın hərbi proqram üzərində çalışdığını açıqlayıb. Bundan sonra ABŞ səfiri Sofiyada vəzifəsindən dərhal çıxarılıb. Pörpl Şovel tərəfindən təchiz edilən eyni silah Suriyadakı üsyançılar tərəfindən istifadə edilməyib. Ötən ilin dekabr ayında Hələbdəki döyüşləri Bolqarıstan mediası üçün işıqlandıırarkən, mənşəyi Bolqarıstan olan ağır silahla dolu 9 ambar taparaq, lentə aldım. Həmin silahlar Əl-Nüsra Cəbhəsi tərəfindən istifadə olunub (Suriyada Əl-Qaidə Təşkilatı BMT tərəfindən terror təşkilatı kimi tanınıb.).

Daha bir ABŞ podratçısı ABŞ standartlarına əsaslanmayan silahların hərbi təminatçısı Orbital ATK da eyni proqrama qatılıb.

Həmin şirkət son iki ildə 250 milyon dollar gəlir əldə edib. Şirkət tərəfindən kimə və hansı növ silahların satıldığı da təsnif olunub.

Sənədlərə əsasən, Orbital ATK 2015-ci ilin iyul və avqust aylarında “Silkway” Hava Yollarının 6 diplomatik reysilə, Bakı (Azərbaycan) – Tuzla (Bosniya və Herseqovina) -Bakı – Kabil (Əfqanıstan) marşrutundan istifadə edərək silah daşıyıb.

Silahlar IGMAN d.d. Konjic (Bosniya və Herseqovina) tərəfindən ixrac olunub və Orbital ATK tərəfindən rəsmiləşdirilib. Maraqlı məqam ondadır ki, həmin 6 diplomatik uçuşun hamısı son ünvan – Əfqanıstana çatmamış, texniki eniş edərək, təxminən 7 saat 30 dəqiqə Bakıda dayanıblar.

Azərbaycanın hərbi təyyarələri 2017-ci ilin aprel-may aylarında Bakı-Rijeka (Xorvatiya) – Bakı istiqamətində 10 diplomatik uçuşla 282 ton yük (PG-7VL və digər bombalar) göndərib. Yükgöndərən Azərbaycan Müdafiə Nazirliyi və alıcı – Culmen International LLC, ABŞ idi. Eyni şirkət 18 fevral 2016 və 19 aprel 2017-ci il tarixlərində qeyri-ABŞ standartlı silahları üçün digər podratçılarla birlikdə iki müqavilə (47 milyon dollar) əldə edə bilib. Culmen International LLC həmçinin Müdafiə Nazirliyi ilə xarici silahlar üçün 26,7 milyon dollarlıq və yeni hazırlanan qeyri-ABŞ standartlı silahlara dair 3,9 milyon dollarlıq müqavilə imzalayıb.

“Chemring” Hərbi Məhsulları “Silkway” Hava Yollarının diplomatik reysləri vasitəsilə ABŞ ordusuna qeyri-ABŞ standart silahların tədarükü proqramında iştirak edən daha bir əsas podratçıdır. Bu hərbi təchizatçı ümumilikdə 302,8 milyon dollarlıq 4 müqaviləyə imza atıb. Sənədlərə əsasən, silahlar Serbiya, Bolqarıstan və Rumıniyadakı yerli istehsalçılar tərəfindən alınaraq, diplomatik uçuşlar vasitəsilə İraq və Əfqanıstana göndərilib.

Serbiyanın paytaxtı Belqradda “Chemring” tərəfindən satın alınan 15.5 ton 122 mm raketi daşıyan bu reyslərdən biri 2016-cı il 18 oktyabrda Kabilə olan istiqamətini dəyişərək, Pakistanın Lahor şəhərinə eniş edib. 2 saatlıq gözləmədən sonra isə təyyarə Əfqanıstana istiqamət alıb. Uçuşu daha min kilometr uzatmağın ən mümkün izahı odur ki, sənədlər Əfqanıstanı göstərsə də, təyyarənin yükü Pakistan üçün nəzərdə tutulub. ABŞ orusunun nəhəng qeyri-ABŞ standartı silah təminatçılarından olan Amerikanın Elliant Texsistemləri Əməliyyatları Şirkəti (Alliant Techsystems Operations-USA) ümumilikdə 490 milyon dollarlıq müqavilələrə sahibdir. 2016-cı ilin dekabrında bu şirkət Yuqoimport-dan (Serbiya) Bakı-Belqrad-Kabil istiqamətində diplomatik reyslə, Əfqanıstan Müdafiə Nazirliyinə tonlarla bomba (API 23 × 115 mm, 23 × 115 mm, GSH 23 × 115 mm) daşıyıb.


Səudiyyə Ərəbistanı – Sponsor və silah təminatçısı

ABŞ-dan başqa, çoxlu miqdarda Şərqi Avropa silahlarını alaraq, onları “Silkway” Hava Yollarının diplomatik reysləri vasitəsilə ixrac edən daha bir ölkə Səudiyyə Ərəbistanıdır.

2016 və 2017-ci illərdə Bolqarıstan, Serbiya və Azərbaycandan Ciddə və Riyada silah daşıyan 23 diplomatik uçuş həyata keçirilib. Yükgöndərənlər VMZ hərbi zavodu və Bolqarıstanın Transmobil, Serbiyanın Yugoimport və Azərbaycanın CIHAZ şirkətləridir.

Krallıq həmin silahları özü üçün tədarük etmir. Səudiyyə Ərəbistanı ordusunda yalnız Qərbi Avropa silahları istifadə olunur və ölkənin yuxarıda adıçəkilən şirkətlərdən aldığı silahlar hərbi standartlara uyğun deyil. Beləliklə də, diplomatik yolla daşınan silahlar Suriya və Yəməndəki Səudiyyə Ərəbistanının dəstəklədiyi terroristlərin əlinə keçib.

Ərəb Krallığı Afrika ölkələrində tapılan brilliant və qızıl kimi sərvətlərə sahib olmaq uğrunda gedən müharibələrlə zəngin Cənubi Afrikaya da hərbi yük daşınıb paylanmasını həyata keçirir.

Cari ilin aprel və may aylarının 12-də “Silkway” Bakı-Burqas-Ciddə-Brazavill marşrutu ilə (Konqo Respublikasına) iki diplomatik uçuş həyata keçirib.

Azərbaycan səfirliyindən Bolqarıstan mənbələrinə sızan sənədlərə görə, hər iki uçuşun hərbi yükünün pulu Səudiyyə Ərəbistanı tərəfindən ödənilib. Təyyarə Ciddə hava limanında texniki eniş edib. İlk uçuş üçün 12 saat 30 dəqiqə, ikinci uçuş üçünsə 14 saat dayanıb.

Təyyarə SPG-9 və GP-25 də daxil olmaqla, hava və tank əleyhinə bomba yüklü olub. Bir ay bundan öncə İraq ordusunun Mosuldakı İslam Dövlətinin anbarında da eyni silahlar aşkarlanmışdı.

İslam dövləti cihadçıları terrorçu qrup tərəfindən internetə yerləşdirilən təbliğat videosunda da onların həmin silahlardan istifadə etdikləri aydın görünür. Maraqlıdır ki, nəqliyyat sənədlərinə görə, alıcı Konqo Respublikasının qəyyumlarıdır.

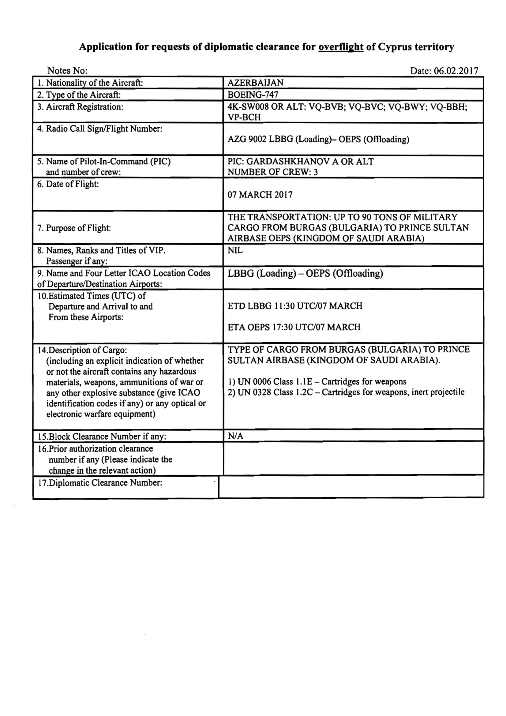
2017-ci ilin fevral və mart aylarında Səudiyyə Ərəbistanı “Silkway”-in Bakı-Belqrad-Şahzadə Sultan-Bakı marşrutu ilə olan diplomatik uçuşlarında 350 ton silah qəbul edib.

Yük 27 350 ədəd 128 mm Plamen-raketi və 10 000 ədəd 122 mm-lik Grad raketlərindən ibarət olub. Təminatçı “Feymvey İnvestment” (Fameway Investment LTD) adlı Yunan şirkətinin sifarişi ilə Serbiyanın “Tehnoremont Temerin” şirkəti olub.

5 mart 2017-ci ildə Azərbaycan Hava Qüvvələri Səudiyyə Ərəbistanı Müdafiə Nazirliyi üçün 1700 ədəd RPG-7 (Təminatçı: Azərbaycanın Müdafiə Nazirliyi) və 2500 PG-7VM (Təminatçı: Transmobilе Ltd, Bolqarıstan) daşıyıb.

Burqasdan Şahzadə Sultan Hava limanına 2017-ci ilin 18 və 28 fevralında iki dəfə diplomatik uçuş həyata keçirilib. Birində 5080 ədəd 40 millimetrlik RPG üçün PG-7V, digərində 24978 ədəd RGD-5 daşınıb.

Silahlar, Bolqarıstanın Transmobil şirkəti tərəfindən Səudiyyə Ərəbistanı Müdafiə Nazirliyinə ixrac edilib. Bolqarıstanda çıxarılan bu cür silah və RPG-7, İslam Dövlətinin təbliğat kanallarında onların özləri tərəfindən çəkilmiş və yerləşdirilən videolarda tez-tez görünür.

Birləşmiş Ərəb Əmirlikləri də ordusunun standartlarına uyğun gəlməsə də, Şərqi Avropa ölkələrinin silahlarını satın alan ölkələr sırasındadır. Görünən odur ki, bu ölkə də üçüncü tərəfin silah təminatçısıdır.

2017-ci ilin mart və aprel aylarında Burgas-Əbu-Dabi-Sveyhan istiqamətində üç uçuşda, “Silkway” Hava Yolları 40 mm-lik RPG-7 üçün 10,8 ton PG7VM qızdırıcı daşıyıb və hər üç reysdə təyyarə Abu-Dabiyə 2 saatlıq texniki eniş edib. İxracatçı Bolqarıstanın Samel-90, idxalçı isə Al Tuff Beynəlxalq Məhdud Məsuliyyətli Cəmiyyətdir. AL Tuff Orbital ATK MMC-nin Yaxın Şərq şöbəsinin hava qüvvəsilə məşğul olur.

İxracatçı “Samel-90”, Bolqarıstan, idxalçı – “Al Tuff” Beynəlxalq Məhdud Məsuliyyətli Cəmiyyətdir. Son alıcı BƏƏ ordusu olsa da, uçuş sənədləri alıcının Səudiyyə Ərəbistanı olduğunu göstərir.

26 fevral 2016-cı ildə Azərbaycan Hərbi Hava Qüvvələrinin təyyarəsi Bakıdan Birləşmiş Ərəb Əmirliklərinə yol alıb. Orda təyyarəyə iki zirehli və bir “Lexus” markalı avtomobil yüklənib. Diplomatik daşınma üçün ABŞ dolları ilə nəğd ödəniş tələb olunub. Təyyarə növbəti gün Şimali Sudana, bir sonrakı gün isə Konqo Respublikasına eniş edib. İxracatçı “Safe Cage Armor Works FZ LLC” (Ərəb Əmirlikləri), qəbul edən tərəf isə Konqo Respublikasının Qəyyumları olub. Ödəniş isə Səudiyyə Ərəbistanı tərəfindən həyata keçirilib.


Diplomatik reyslərlə ölümcül ağ fosfor daşınır

Ağ Fosfor ölümcül zərərlər vura biləcəyi yönündə mübahisələrin getdiyi yandırıcı silahın tərkibidir.

31 mart 2015-ci ildə “Silkway” Serbiyadan 26 ton (Yugoimportun ixracatçılığı ilə), 63 ton isə Bolqarıstandan (Arsenalın ixracatçılığı ilə) ağ fosfor daşıyıb. Həmçinin martın 22-də daha 100 ton ağ fosfor Yugimport tərəfindən Belqraddan Kabilə göndərilib. Bu səfər və alış-verişlə bağlı ortada heç bir müqavilə yoxdur.

2015-ci il mayın 2-də “Silkway”in təyyarəsinə Burqasda ağ fosfor da daxil olmaqla 17 ton sursat yüklənib. İxracatçı Bolqarıstanın “Dunarit” şirkətidir. Hava gəmisi eynilə digər əvvəlki səfərlərdə olduğu kimi yenə texniki eniş edir və Bakıda 4 saatlıq fasilədən sonra mənzilbaşına yollanır – Kabilə. Alıcı Əfqan polisidir. Sübut üçün heç bir müqavilə və ya sənəd yoxdur.


Bakı – Silahlar üçün beynəlxalq mərkəzdir

Azərbaycanın Müdafiə Naziriyi dəfələrlə silah alıcısı kimi göstərilsə də, silahlar Azərbaycana gəlib çıxmayıb. 2015-ci ilin mayın 6-da Azərbaycan hərbi təyyarəsi Burqas-İncirlik-Burqas reysi edib. Təyyarə Bolqarıstandan Türkiyəyə aviasiya avadanlığı aparıb. Təminatçı EMCO LTD (Sofiya), alıcı isə Azərbaycanın Müdafiə Nazirliyi olub. Lakin təyyarə Türkiyədə yükünü boşaldır və Azərbaycan rəsmən aldığı malı əldə etmir.

Azərbaycanın diplomatik reyslərlə daşıdığı silahların bəziləri ölkənin ordusu tərəfindən Dağlıq Qarabağda Ermənistana qarşı istifadə olunub. 2016-cı ildə Azərbaycan Ermənistanı ağ fosfor istifadəsində suçlayıb. Ermənistan bu iddiaları təkzib edib və öz növbəsində Azərbaycanı əks iddialarla günahlandırıb. Dəlil kimi isə Azərbaycan əsgərləri tərəfindən tapılan partlamamış bomba göstərilir.

Azərbaycanın Bolqarıstandakı Səfirliyindən sızmış sənədlərə əsasən, ağ fosfor Bakıya keçən il diplomatik reyslərdən biri ilə gətirilib.

Bakı silahlar üçün beynəlxalq mərkəz rolunu oynayır. Reyslərin çoxu Bakı aeroportuna yaxud hər hansı vasitəçi aeroportlardan birinə bir neçə saatlıq texniki eniş edir, daha sonra təyin olunduğu ünvana yol alır.

Heç bir halda eyni istiqamətlərə uçuş həyata keçirən və belə yükləri daşıyan təyyarələr texniki eniş etmirlər, yanacaq doldurmaq üçün texniki eniş etmək çox da vacib deyilsə. Bundan başqa, “Silkway” Hava Yollarının təyyarələri çox tez-tez texniki eniş edib. Daha bir misal: 2015-ci ilin dekabr ayında “Silkway” 14 uçuş həyata keçirib və hər uçuşda 40 ton silahı Ostrava (Çexiya) – Ovda (İsrael) – Nososnı (Azərbaycan) istiqamətində daşıyıb. İxracatçı sənədlərdə qeyd etmir ki, bu yüklərin alıcısı Azərbaycanın Müdafiə Nazirliyidir, ya yox. Qəribədir ki, təyyarə Ovda Aeroportuna (Cənubi İsraildə hərbi baza) texniki eniş edərək, 2 saat gözləyib.

2017-ci ildə Niş (Serbiya) – Ovda (İsrail) – Nasosni (Azərbaycan) 5 uçuş reallaşdırılıb. Hər uçuşda da 44 ton yük – SPG Howitzer, RM-70/85 olub. Təminatçı MSM Martin, Serbiya, alıcı isə Elbit sistemləri (Elbit Systems), İsrail və Azərbaycanın Müdafiə Nazirliyidir. Uçuşların hamısında təyyarələr iki saat Ovdada eniş edərək, daha sonra marşrutlarına davam ediblər.

Həmin İsrail şirkəti Elbit Sistemləri Barno (Çexiya) – Təl-Əviv (İsrail) – Bratislava (Slovakiya) marşrutu ilə TATRA T-815 VP31, TATRA T-815 VPR9 adlı yükləri təkrar ixrac edib. Həmin texnika Praqanın “Real Trade” şirkəti tərəfindən Elbit Sistemlərinə göndərilib. Son alıcı yenə Azərbaycanın Müdafiə Nazirliyidir.

Təyyarə Təl-Əvivdə eniş edir, daha sonra Bratislavaya uçub, orda yük digər şirkət – Slovakiyanın MSM Martin şirkəti vasitəsilə götürülür.

Aydın olmayan nəsnə odur ki, niyə təyyarə Avropadan Asiyaya uçub, daha sonra həmin yüklə də Avropaya qayıdıb? Qısası, yük öz ünvanına – Azərbaycana çatmayıb. Bu tipli təyyarələr (İL-76TD) 50 tona yaxın yük daşıya bilir. Sözügedən təyyarə isə 30 tonluq yüklə havaya qalxıb. Sənəddə belə yazılıb. Lakin o, daha 20 ton yükü daşıya bilərdi. Uçuş diplomatik olduğundan heç bir yoxlama müakirə mövzusu olmayıb.


Burkino Fasoda diplomatik uçuşdan sonra baş verən hərbi çevriliş

Bəzi diplomatik uçuşlar müxtəlif münaqişə zonalarına Avropa, Asiya və Afrikaya silah daşıyırlar.

Belə iki iş Azərbaycan Hava Qüvvələrinə aiddir. 30 avqust və 5 sentyabr 2015-ci ildə Azərbaycan Hava Qüvvələrinə məxsus təyyarələr Bakı-Belqrad-Ciddə-Brazavill-Burkino Faso marşrutuyla hərəkət edib. Təminatçılar Azərbaycanın “CİHAZ”, Serbiyanın “Yugimport” şirkətləri, alıcı isə Konqo Respublikasının Müdafiə Nazirliyi olub. Təyyarə iki dəfə Türkiyə və Səudiyyə Ərəbistanına texniki eniş edib.

Bakı və Belqraddan göndərilən 41.2-ton yükə 7, 62 mm patron, 12 ədəd snayper, 25 ədəd М12 “Black Spear” 12,7х108 mm çaplı, 25 ədəd RBG 40 × 46 mm / 6M11, 25 ədəd daxildir. Həmçinin “Coyote” 12,7х108 mm pulemyot öz ayaqlıqları ilə birgə göndərilib. Həmin pulemyot bir neçə aydan sonra Suriyanın İdlib və Hama əyalətində hərbi qrupların birinin videosunda görüntülənib və fotosu qəzetlərdə dərc edilib.

Təyyarə həmçinin 1999 ədəd M70B1 7,62х39 mm və 25 ədəd 69А 82 mm-lik hərbi yük daşıyıb. 26 fevral 2016-cı ildə, eyni М69А 82 mm silah özünü 13-cü Diviziya adlandıran və Hələbin şimalında döyüşən qruplaşmanın videosunda görünüb.

Maraqlıdır ki, həmin növ silahı daşıyan təyyarə Diyarbəkirdə (Türkiyə), Suriyadan 235 km məsafədə eniş edib. Həmin reysdən başqa bir növ silah RBG 40 mm/6M11, hansı ki, Konqo Respublikasına aparılmalı idi, Şimali Suriyanın Əl-Səfva İslam Briqadasının vieosunda görünür.

Türkiyədən sonra təyyarə Səudiyyə Ərəbistanında enir və orda bir gün qalır. Daha sonra Konqoda və Burkino Fasoda eniş edir. Bir həftə sonra Burkino Fasoda hərbi çevriliş baş verir.

Kürdlər üçün 300 ton RPG silahları, pulemyot və sursat

2017-ci ilin martında 300 ton silah Şimali Suriyada xalqı Müdafiə bölmələrinə göndərilib. 6 diplomatik uçuşda 43 ton yüklə təyyarələrin hamısı Bolqarıstandan İraq Müdafiə Nazirliyinə göndərilib. Orda da heç bir müqavilə olmayıb. Martın 28-də 82 tonluq yük AKM 7,62×39 mm və AG-7 Ərbil (İraq Kürdüstan) üçün Otopenidən (Rumıniya) göndərilib. Alıcı yenə Bağdad, İraqın Müdafiə Nazirliyi, malgöndərən isə Romtechnica Ş.A idi. Bu uçuş üçün də müqavilə yoxdu.

2016-cı ilin martın 16-da başqa bir “Silkway” təyyarəsi diplomatik uçuşla 40 ton hərbi yükü Slovakiyadan Ərbilə daşıyır. İxracatçı ELDON S,R,O, Slovakiya, idxalçı isə “WIDE City” LTD.Co, Erbildir. Sonuncu real alıcı isə Kürdüstandır.

“Wide City Ltd.Co” şirkətinin üç ofisi var – Limassol Yunanıstan, Sofia Bolqarıstan, və Ərbil. “Techno Defence” LTD Bolqarıstan şirkətidir və Sofiyada yerləşir. Şirkətin saytında “Techno Defens”in sahibi Hair Əl-Əhməd Salhə bildirir ki, onun Ərbildə ofisi var və onun şirkəti Azərbaycan üçün “Zaqros” (K15 zaqros, 9×19 mm və avtomatik K16 zaqros) silahları istehsal edir.

Həmin “Zaqros” silahları Türkiyə tərəfindən terrorist təşkilatı kimi elan olunmuş Kürd PKK-sının propaqanda şəkillərində görünüb. Azərbaycan prezidenti İlham Əliyev də etnik cəhətdən kürddür. Mən öz araşdırmamda bütün tərəflərə çıxmağa çalışdım, lakin heç bir şərh ala bilmədim.

Redaksiya qeydi: “Silkway” Hava Yolları Azərbaycanın hakim ailəsinə məxsusdur. “Silkway Holding”-in tərkibinə qatılan

“Silkwaybank”-ın əsas təsisçiləri kimi “Silkway” Hava Yolları, Əliyeva Arzu İlham qızı və Həmzəyeva Zərifə Kamil qızı (AZAL-ın rəhbəri Cahangir Əsgərovun həyat yoldaşı) göstərilir.

Azadlıq Radiosu bununla bağlı geniş

araşdırma dərc edib

. ““Silkwaybank” “Azalbank”ın varisidir. “Azalbank”-ın səhmlərinin bölgüsü belə olub:

Silkway Holdinq – 41.83 faiz,

Zərifə Həmzəyeva – 29,08 faiz

Arzu Əliyeva – 29,08 faiz


Bu mətn Bolqarıstanın “TRUD” saytında

dərc olunub

, yazıdakı iddialar və faktlar araşdırmaçı jurnalist Dilyana Qaytancievaya məxsusdur. Meydan TV tərəfindən tərcümə edilib.

Ana səhifəAraşdırmaAzərbaycan hakimiyyəti terroristlərə silah daşıyır? (ARAŞDIRMA)